Форум врачей-аспирантов

Здравствуйте, гость ( Вход | Регистрация )

> ANOVA повторных измерений
grergi
сообщение 13.04.2014 - 10:40
Сообщение #1





Группа: Пользователи
Сообщений: 43
Регистрация: 12.04.2014
Пользователь №: 26319



Здравствуйте, извиняюсь если на подобный вопрос уже отвечали ранее, но в темах посвященных дисперсионному анализу и повторным измерениям, я ответа не нашел.
Суть эксперимента: у интактной группы определяется уровень гормонов, затем на протяжении 10 дней им вводится вещество А, после чего на 11 день повторно измеряется уровень гормонов. Спустя пять дней отмены повторно измеряются гормоны. Измеряемые значения уровня гормонов (я так понимаю это называется откликом), носит количественный характер, и в нашем случае нормальное распределение. В качестве контроля используются значения интактной группы, измерения повторные (группы зависимые), количество измерений больше двух, их три: 1)интактные, 2) 10 дней введения, 3) 5 день отмены. Если я правильно понимаю, то здесь применим ANOVA повторных измерений, затем критерий Стьюдента для повторных измерений или критерий Ньюмена-Кейлса (предпочтителен). Подскажите, как в данном случае заносить данные в Statistica 7 или 8, и как вообще считать, если можно пошагово, т.к. в Statistica не силен? Может я, что-то не понимаю и считать нужно другим методом? Был бы очень признателен за помощь или совет.
п/п норма 10дней 5 день отмены
1 10,78 4,28 9,15
2 10,73 3,45 5,08
3 9,61 6,33 8,12
4 10,66 4,35 7,79
5 9,63 7,83 7,27
6 8,74 6,43 8,19
7 8,08 5,48 4,46
8 7,91 3,49 4,72
расп норм норм норм
сре 9,5175 5,205 6,8475

Сообщение отредактировал grergi - 13.04.2014 - 10:41
Вернуться в начало страницы
 
+Ответить с цитированием данного сообщения
 
5 страниц V   1 2 3 > »   
Открыть тему
Ответов (1 - 60)
100$
сообщение 13.04.2014 - 16:11
Сообщение #2





Группа: Пользователи
Сообщений: 902
Регистрация: 23.08.2010
Пользователь №: 22694



Цитата(grergi @ 13.04.2014 - 11:40) *
Здравствуйте, извиняюсь если на подобный вопрос уже отвечали ранее, но в темах посвященных дисперсионному анализу и повторным измерениям, я ответа не нашел.
Суть эксперимента: у интактной группы определяется уровень гормонов, затем на протяжении 10 дней им вводится вещество А, после чего на 11 день повторно измеряется уровень гормонов. Спустя пять дней отмены повторно измеряются гормоны. Измеряемые значения уровня гормонов (я так понимаю это называется откликом), носит количественный характер, и в нашем случае нормальное распределение. В качестве контроля используются значения интактной группы, измерения повторные (группы зависимые), количество измерений больше двух, их три: 1)интактные, 2) 10 дней введения, 3) 5 день отмены. Если я правильно понимаю, то здесь применим ANOVA повторных измерений, затем критерий Стьюдента для повторных измерений или критерий Ньюмена-Кейлса (предпочтителен). Подскажите, как в данном случае заносить данные в Statistica 7 или 8, и как вообще считать, если можно пошагово, т.к. в Statistica не силен? Может я, что-то не понимаю и считать нужно другим методом? Был бы очень признателен за помощь или совет.
п/п норма 10дней 5 день отмены
1 10,78 4,28 9,15
2 10,73 3,45 5,08
3 9,61 6,33 8,12
4 10,66 4,35 7,79
5 9,63 7,83 7,27
6 8,74 6,43 8,19
7 8,08 5,48 4,46
8 7,91 3,49 4,72
расп норм норм норм
сре 9,5175 5,205 6,8475


А можно я вам сразу ответ выложу? smile.gif

F=21.261653 [0.000114376]
Мощность исследования Power=0.97567 с параметром нецентральности Lambda=32.446605
Тест Levene=1.721979 [0.2] -> дисперсии статистически неразличимы

Пост хок (Стьюдент с коррекцией Бонферрони) не видит разницы между 2 и 3 столбцами.


Вернуться в начало страницы
 
+Ответить с цитированием данного сообщения
 
grergi
сообщение 13.04.2014 - 21:09
Сообщение #3





Группа: Пользователи
Сообщений: 43
Регистрация: 12.04.2014
Пользователь №: 26319



Не хочу показаться неблагодарным, но,100$, не могли бы Вы объяснить, как считается дисперсионный анализ повторных измерений и Критерий Стьюдента с поправкой Бонферрони? Дело в том, что я выложил данные одной из серий. Достоверные отличия между 2 и 3 группами не так важны, больше интересуют между 1 и 2, 1 и 3 группами.

Сообщение отредактировал grergi - 13.04.2014 - 21:12
Вернуться в начало страницы
 
+Ответить с цитированием данного сообщения
 
100$
сообщение 13.04.2014 - 22:30
Сообщение #4





Группа: Пользователи
Сообщений: 902
Регистрация: 23.08.2010
Пользователь №: 22694



Цитата(grergi @ 13.04.2014 - 22:09) *
Не хочу показаться неблагодарным, но,100$, не могли бы Вы объяснить, как считается дисперсионный анализ повторных измерений и Критерий Стьюдента с поправкой Бонферрони? Дело в том, что я выложил данные одной из серий. Достоверные отличия между 2 и 3 группами не так важны, больше интересуют между 1 и 2, 1 и 3 группами.



Что касается формул и методологии - поройтесь Здесь
В формате форума такое преподать невозможно.
Дело в том, что все эти поправки - морально устаревший этап в методологии ДА. Пост хоков с тех пор изобрели великое множество.

К слову сказать, непараметрические аналоги двухфакторного ДА, проверяющие гипотезу о главных эффектах,- тест Фридмана и тест Квейд - тоже дают значимые различия именно между первой и второй и первой и третьей группами на 5%-ном уровне.

Сообщение отредактировал 100$ - 13.04.2014 - 22:34
Вернуться в начало страницы
 
+Ответить с цитированием данного сообщения
 
grergi
сообщение 13.04.2014 - 23:23
Сообщение #5





Группа: Пользователи
Сообщений: 43
Регистрация: 12.04.2014
Пользователь №: 26319



Спасибо, 100$ ,буду читать.

Сообщение отредактировал grergi - 13.04.2014 - 23:23
Вернуться в начало страницы
 
+Ответить с цитированием данного сообщения
 
grergi
сообщение 14.04.2014 - 13:34
Сообщение #6





Группа: Пользователи
Сообщений: 43
Регистрация: 12.04.2014
Пользователь №: 26319



Уважаемые участники форума, подскажите, как в программе Statistica 7.0 или 8.0 StatSoft, рассчитывать дисперсионный анализ повторных измерений. Интересует каким образом вносить данные, через какой модуль считать (подразумеваю, что Advanced Linear/ Nonlinear Models, General Linear Models, Repeated measures ANOVA), какие настройки? Затем вычисление критерия Стьюдента для повторных измерений или критерий Ньюмена-Кейлса (предпочтителен). Был бы очень признателен за помощь. Структура эксперимента описана в первом посте.

Сообщение отредактировал grergi - 14.04.2014 - 17:30
Вернуться в начало страницы
 
+Ответить с цитированием данного сообщения
 
100$
сообщение 14.04.2014 - 13:59
Сообщение #7





Группа: Пользователи
Сообщений: 902
Регистрация: 23.08.2010
Пользователь №: 22694



Цитата(grergi @ 14.04.2014 - 14:34) *
Уважаемые участники форума, подскажите, как в программе Statistica 7.0 или 8.0 StatSoft, рассчитывать дисперсионный анализ повторных измерений. Интересует каким образом вносить данные, через какой модуль считать (подразумеваю, что Advanced Linear/ Nonlinear Models, General Linear Models, Repeated measures ANOVA), какие настройки? Был бы очень признателен за помощь. Структура эксперимента описана в первом посте.


Данные вносите тремя столбцами (Var1-Var3), число уровней Within-фактора указываете как 3. И вся любовь.
Вернуться в начало страницы
 
+Ответить с цитированием данного сообщения
 
grergi
сообщение 14.04.2014 - 14:04
Сообщение #8





Группа: Пользователи
Сообщений: 43
Регистрация: 12.04.2014
Пользователь №: 26319



Цитата(100$ @ 14.04.2014 - 14:59) *
Данные вносите тремя столбцами (Var1-Var3), число уровней Within-фактора указываете как 3. И вся любовь.

Что выбирать в качестве зависимой переменной?
Вернуться в начало страницы
 
+Ответить с цитированием данного сообщения
 
100$
сообщение 14.04.2014 - 14:21
Сообщение #9





Группа: Пользователи
Сообщений: 902
Регистрация: 23.08.2010
Пользователь №: 22694



Цитата(grergi @ 14.04.2014 - 15:04) *
Что выбирать в качестве зависимой переменной?


Var1-Var3
Вернуться в начало страницы
 
+Ответить с цитированием данного сообщения
 
grergi
сообщение 14.04.2014 - 14:47
Сообщение #10





Группа: Пользователи
Сообщений: 43
Регистрация: 12.04.2014
Пользователь №: 26319



Цитата(100$ @ 14.04.2014 - 15:21) *
Var1-Var3

Полученные результаты несколько отличаются от ранее написанных Вами. Они в прикрепленном скриншоте. Подскажите как рассчитывается Критерий Стьюдента с поправкой Бонферрони?

Сообщение отредактировал grergi - 14.04.2014 - 14:48
Эскизы прикрепленных изображений
Прикрепленное изображение
 
Вернуться в начало страницы
 
+Ответить с цитированием данного сообщения
 
100$
сообщение 14.04.2014 - 15:16
Сообщение #11





Группа: Пользователи
Сообщений: 902
Регистрация: 23.08.2010
Пользователь №: 22694



Цитата(grergi @ 14.04.2014 - 15:47) *
Полученные результаты несколько отличаются от ранее написанных Вами. Они в прикрепленном скриншоте. Подскажите как рассчитывается Критерий Стьюдента с поправкой Бонферрони?


Да, что-то я удвоенную вероятность выдал. Правда, на выводы это не влияет: нулевая гипотеза уверенно отвергается на любом разумном уровне значимости.
Не зацикливайтесь на Бонферрони и Стьюденте. Докопайтесь до формы, на которой расставляются галочки для пост хок тестов, и счастье вдруг в тишине постучится в двери.

Сообщение отредактировал 100$ - 14.04.2014 - 15:19
Вернуться в начало страницы
 
+Ответить с цитированием данного сообщения
 
grergi
сообщение 14.04.2014 - 15:22
Сообщение #12





Группа: Пользователи
Сообщений: 43
Регистрация: 12.04.2014
Пользователь №: 26319



Цитата(100$ @ 14.04.2014 - 16:16) *
Не зацикливайтесь на Бонферрони и Стьюденте. Докопайтесь до формы, на которой расставляются галочки для пост хок тестов, и счастье вдруг в тишине постучится в двери.

Не подскажите в каком направлении "копать") На какой вкладке и какие галочки надо поставить? Возможно я не до конца понимаю, но как тогда выяснить наличие/отсутствие достоверных различий между 1 и 2, 1 и 3, ну и 2 и 3 (как Вы уже сказали в данном случае между 2 и 3 группами их нет), без критерия Стьюденте с поправкой Бонферрони?

Сообщение отредактировал grergi - 14.04.2014 - 15:26
Вернуться в начало страницы
 
+Ответить с цитированием данного сообщения
 
100$
сообщение 14.04.2014 - 15:38
Сообщение #13





Группа: Пользователи
Сообщений: 902
Регистрация: 23.08.2010
Пользователь №: 22694



Цитата(grergi @ 14.04.2014 - 16:22) *
Не подскажите в каком направлении "копать") На какой вкладке и какие галочки надо поставить? Возможно я не до конца понимаю, но как тогда выяснить наличие/отсутствие достоверных различий между 1 и 2, 1 и 3, ну и 2 и 3 (как Вы уже сказали в данном случае между 2 и 3 группами их нет), без критерия Стьюденте с поправкой Бонферрони?


Смотрите: результаты анализа показывают, что в дисперсионном комплексе обнаружены статистически значимые различия. Возникает вопрос: а где они локализованы? Для это после проведения анализа можно
воспользоваться так называемыми post hoc ("после того") тестами: Фишера (LSD), Tukey (HSD), Габриэля, Тамхейна etc.
Я просто не помню, на какой форме они находятся: Statistic'у не юзал уже давно. Копайтесь в настройках и смелее тыкайте пальцами в кнопки.
А то все, кто нас читают, уже устали хохотать.
Вернуться в начало страницы
 
+Ответить с цитированием данного сообщения
 
grergi
сообщение 14.04.2014 - 16:13
Сообщение #14





Группа: Пользователи
Сообщений: 43
Регистрация: 12.04.2014
Пользователь №: 26319



Цитата(100$ @ 14.04.2014 - 16:38) *
Смотрите: результаты анализа показывают, что в дисперсионном комплексе обнаружены статистически значимые различия. Возникает вопрос: а где они локализованы? Для это после проведения анализа можно
воспользоваться так называемыми post hoc ("после того") тестами: Фишера (LSD), Tukey (HSD), Габриэля, Тамхейна etc.
Я просто не помню, на какой форме они находятся: Statistic'у не юзал уже давно. Копайтесь в настройках и смелее тыкайте пальцами в кнопки.
А то все, кто нас читают, уже устали хохотать.

Уважаемый, 100$, я немного представляю, что позволяет сделать дисперсионный анализ (лишь проверить нулевую гипотезу о равенстве всех средних. А для того, что бы узнать какая именно группа отличается от других используются методы множественного сравнения). Я задал вполне конкретный вопрос и хотел получить на него четкий ответ, алгоритм. Знаю, что в других программах типа Биостатистики, вся эта штука считается гораздо легче, но меня интересует Statistica Stat Soft. В чем то я с Вами согласен, уже 14 пост и диалог теряет всякий смысл, но я прекрасно понимаю, что мне здесь никто, ничего не должен. Спасибо за потраченное на меня время.

Сообщение отредактировал grergi - 14.04.2014 - 16:24
Вернуться в начало страницы
 
+Ответить с цитированием данного сообщения
 
100$
сообщение 14.04.2014 - 16:58
Сообщение #15





Группа: Пользователи
Сообщений: 902
Регистрация: 23.08.2010
Пользователь №: 22694



Цитата(grergi @ 14.04.2014 - 17:13) *
Уважаемый, 100$, я немного представляю, что позволяет сделать дисперсионный анализ
(лишь проверить нулевую гипотезу о равенстве всех средних. А для того, что бы узнать какая именно группа отличается от других используются методы множественного сравнения).
Я задал вполне конкретный вопрос и хотел получить на него четкий ответ, алгоритм. Знаю, что в других программах типа Биостатистики, вся эта штука считается гораздо легче, но меня интересует Statistica Stat Soft. В чем то я с Вами согласен, уже 14 пост и диалог теряет всякий смысл, но я прекрасно понимаю, что мне здесь никто, ничего не должен. Спасибо за потраченное на меня время.


Вот собеседники, мать-перемать. Сразу истерить начинают. Постойте grergi, куда же вы?

С Бонферрони все просто. У вас предполагается три попарных сравнения: 1 vs. 2, 1 vs. 3 и 2 vs. 3. Это означает, что контроль ошибки первого рода при множественной проверке гипотез необходимо обеспечивать, разделив значение номинального уровня значимости (на котором ведется исследование) на количество попарных сравнений. В данном случае 3.
Получаем ,05/3=,017. Гипотеза однородности связанных выборок отвергается, если достигаемый уровень значимости при использовании парного критерия Стьюдента p< ,017.
Вернуться в начало страницы
 
+Ответить с цитированием данного сообщения
 
grergi
сообщение 14.04.2014 - 17:45
Сообщение #16





Группа: Пользователи
Сообщений: 43
Регистрация: 12.04.2014
Пользователь №: 26319



Цитата(100$ @ 14.04.2014 - 17:58) *
Вот собеседники, мать-перемать. Сразу истерить начинают. Постойте grergi, куда же вы?

С Бонферрони все просто. У вас предполагается три попарных сравнения: 1 vs. 2, 1 vs. 3 и 2 vs. 3. Это означает, что контроль ошибки первого рода при множественной проверке гипотез необходимо обеспечивать, разделив значение номинального уровня значимости (на котором ведется исследование) на количество попарных сравнений. В данном случае 3.
Получаем ,05/3=,017. Гипотеза однородности связанных выборок отвергается, если достигаемый уровень значимости при использовании парного критерия Стьюдента p< ,017.

Уважаемый 100$, поскольку это всего лишь текст, то Вы могли меня неправильно понять, я Вам благодарен (это не сарказм), и истерии никакой нет. Я внимательно читаю каждый Ваш пост.
Возможно я не очень хорошо разбираюсь в статитстике, но в ней не плохо шарит Гланц. Мне понятно, что нужно делать, что бы не обнаружить различия там где их нет. Вопрос в том, как посчитать все это в программе?

Сообщение отредактировал grergi - 14.04.2014 - 18:13
Вернуться в начало страницы
 
+Ответить с цитированием данного сообщения
 
DrgLena
сообщение 14.04.2014 - 20:18
Сообщение #17





Группа: Пользователи
Сообщений: 1325
Регистрация: 27.11.2007
Пользователь №: 4573



Нажимайте кнопки
More result - Post hoc - Dunnet (в данном случае)
Эскизы прикрепленных изображений
Прикрепленное изображение
 
Вернуться в начало страницы
 
+Ответить с цитированием данного сообщения
 
100$
сообщение 14.04.2014 - 20:37
Сообщение #18





Группа: Пользователи
Сообщений: 902
Регистрация: 23.08.2010
Пользователь №: 22694



Цитата(DrgLena @ 14.04.2014 - 21:18) *
Нажимайте кнопки
More result - Post hoc - Dunnet (в данном случае)


Там, по-моему, даже галочка есть "Bonferroni correction".
Вернуться в начало страницы
 
+Ответить с цитированием данного сообщения
 
DrgLena
сообщение 14.04.2014 - 21:32
Сообщение #19





Группа: Пользователи
Сообщений: 1325
Регистрация: 27.11.2007
Пользователь №: 4573



Bonferroni есть, но не все сравнения нужны, а только с первым измерением, потому Dannett

Сообщение отредактировал DrgLena - 14.04.2014 - 21:33
Вернуться в начало страницы
 
+Ответить с цитированием данного сообщения
 
grergi
сообщение 15.04.2014 - 11:26
Сообщение #20





Группа: Пользователи
Сообщений: 43
Регистрация: 12.04.2014
Пользователь №: 26319



Цитата(DrgLena @ 14.04.2014 - 21:18) *
Нажимайте кнопки
More result - Post hoc - Dunnet (в данном случае)

DrgLena, я Вам оооооочень признателен!!!!
Вернуться в начало страницы
 
+Ответить с цитированием данного сообщения
 
nokh
сообщение 15.04.2014 - 21:38
Сообщение #21





Группа: Пользователи
Сообщений: 1219
Регистрация: 13.01.2008
Из: Челябинск
Пользователь №: 4704



Пока нет времени полноценно поучаствовать в теме любимого дисперсионного анализа. Отпишусь по-возможности. Пока прикрепил свой вариант анализа с другой организацией данных (выделены чёрным). Кстати, проверил сейчас: пост-хоки совпадают (мы с DrgLen'ой немного спорили но забросили эту тему как раз на пост-хоках, на этих маленьких данных легко экспериментировать). К сожалению, в Statistica нет современного подхода через смешанные модели, а тоже было бы интересно посмотреть. Придётся в R, где они есть, а как раз классический вариант - проблема.

Сообщение отредактировал nokh - 15.04.2014 - 22:02
Эскизы прикрепленных изображений
Прикрепленное изображение
 
Вернуться в начало страницы
 
+Ответить с цитированием данного сообщения
 
100$
сообщение 15.04.2014 - 22:57
Сообщение #22





Группа: Пользователи
Сообщений: 902
Регистрация: 23.08.2010
Пользователь №: 22694



Цитата(nokh @ 15.04.2014 - 22:38) *
Пока прикрепил свой вариант анализа с другой организацией данных (выделены чёрным).


И что изменилось? Кроме того, что модель из усеченно параметризованной (Sigma - restricted) стала избыточно параметризованной (Over - parameterized)?
Остаточная дисперсия не изменилась, а вот как поведет себя тест Дарбина-Уотсона для этих двух моделей? Чует мое сердце, что придется мне trial-версию 12-й Статистики сливать.smile.gif))

Цитата
К сожалению, в Statistica нет современного подхода через смешанные модели, а тоже было бы интересно посмотреть. Придётся в R, где они есть, а как раз классический вариант - проблема.


А что-то должно принципиально измениться? Все эти модели неявно исходят из предположения о сферичности матрицы ковариаций исходных данных. А мне вот тут тест John-Nagao-Sugiura (1972) гипотезу о сферичности уверенно отвергает (p<.001). Хочешь-не хочешь, а придется поглядывать на эпсилон-коррекцию и многомерные тесты.

Кроме шуток. Просто интересно.

Сообщение отредактировал 100$ - 15.04.2014 - 23:08
Вернуться в начало страницы
 
+Ответить с цитированием данного сообщения
 
grergi
сообщение 16.04.2014 - 13:18
Сообщение #23





Группа: Пользователи
Сообщений: 43
Регистрация: 12.04.2014
Пользователь №: 26319



Цитата(nokh @ 15.04.2014 - 22:38) *
Пока нет времени полноценно поучаствовать в теме любимого дисперсионного анализа. Отпишусь по-возможности. Пока прикрепил свой вариант анализа с другой организацией данных (выделены чёрным). Кстати, проверил сейчас: пост-хоки совпадают (мы с DrgLen'ой немного спорили но забросили эту тему как раз на пост-хоках, на этих маленьких данных легко экспериментировать). К сожалению, в Statistica нет современного подхода через смешанные модели, а тоже было бы интересно посмотреть. Придётся в R, где они есть, а как раз классический вариант - проблема.

Уважаемый, nokh, первоначально я таким же способом располагал данные, но посчитать их через Repeated measures ANOVA не смог. Кода у Вас будет время, пожалуйста объясните, как это делать.
Вернуться в начало страницы
 
+Ответить с цитированием данного сообщения
 
grergi
сообщение 16.04.2014 - 20:00
Сообщение #24





Группа: Пользователи
Сообщений: 43
Регистрация: 12.04.2014
Пользователь №: 26319



Еще интересует такой вопрос. В случае непараметрического распределения данных, хотел бы использовать критерий Фридмана, затем непараметрический вариант критерия Ньюмена-Кейлса. Вопрос, как считать последний?

Сообщение отредактировал grergi - 16.04.2014 - 20:00
Вернуться в начало страницы
 
+Ответить с цитированием данного сообщения
 
100$
сообщение 16.04.2014 - 21:05
Сообщение #25





Группа: Пользователи
Сообщений: 902
Регистрация: 23.08.2010
Пользователь №: 22694



Цитата(grergi @ 16.04.2014 - 21:00) *
Еще интересует такой вопрос. В случае непараметрического распределения данных, хотел бы использовать критерий Фридмана, затем непараметрический вариант критерия Ньюмена-Кейлса. Вопрос, как считать последний?


Думается, что так
Вернуться в начало страницы
 
+Ответить с цитированием данного сообщения
 
grergi
сообщение 16.04.2014 - 22:29
Сообщение #26





Группа: Пользователи
Сообщений: 43
Регистрация: 12.04.2014
Пользователь №: 26319



Цитата(100$ @ 16.04.2014 - 22:05) *
Думается, что так

100$, интересует НЕПАРАМЕТРИЧЕСКИЙ вариант критерия Ньюмена-Кейлса и не математическое его выражение, а вычисление его в Statistica StatSoft.

Сообщение отредактировал grergi - 16.04.2014 - 22:32
Вернуться в начало страницы
 
+Ответить с цитированием данного сообщения
 
100$
сообщение 16.04.2014 - 23:16
Сообщение #27





Группа: Пользователи
Сообщений: 902
Регистрация: 23.08.2010
Пользователь №: 22694



Цитата(grergi @ 16.04.2014 - 23:29) *
100$, интересует НЕПАРАМЕТРИЧЕСКИЙ вариант критерия Ньюмена-Кейлса и не математическое его выражение, а вычисление его в Statistica StatSoft.


Ну, хорошо, вот цитата из их Help'a:

Newman-Keuls test & critical ranges. Click the Newman-Keuls test & critical ranges button to produce a spreadsheet with the post-hoc p-values for the Newman-Keuls test. Note that STATISTICA does not merely report cut-off values for p, but will compute the actual probabilities based on the distribution of the studentized range statistics. A second spreadsheet will display the critical ranges between ordered means, given the respective alpha level (by default p < .05). The Newman-Keuls test is based on the studentized range statistic. Computationally, STATISTICA first sorts the means into ascending order. For each pair of means STATISTICA then assesses the probability under the null hypothesis (no differences between means in the population) of obtaining differences between means of this (or greater) magnitude, given the respective number of samples. Thus, it actually tests the significance of ranges, given the respective number of samples.

могу я попросить вас показать пальцем, откуда следует, что
а) Стьюдент (1908), Ньюмен (1939) и Кейлс (1952) сначала придумали параметрический тест, а потом по многочисленным просьбам трудящихся родили еще и непараметрический его вариант;
б) разработчики Статистики закодярили именно его.

Заранее спасибо за любезные разъяснения. Если с ответом затруднитесь, сразу сообщите.


Сообщение отредактировал 100$ - 16.04.2014 - 23:29
Эскизы прикрепленных изображений
Прикрепленное изображение
 
Вернуться в начало страницы
 
+Ответить с цитированием данного сообщения
 
grergi
сообщение 17.04.2014 - 11:14
Сообщение #28





Группа: Пользователи
Сообщений: 43
Регистрация: 12.04.2014
Пользователь №: 26319



Цитата(100$ @ 17.04.2014 - 00:16) *
Ну, хорошо, вот цитата из их Help'a:

Newman-Keuls test & critical ranges. Click the Newman-Keuls test & critical ranges button to produce a spreadsheet with the post-hoc p-values for the Newman-Keuls test. Note that STATISTICA does not merely report cut-off values for p, but will compute the actual probabilities based on the distribution of the studentized range statistics. A second spreadsheet will display the critical ranges between ordered means, given the respective alpha level (by default p < .05). The Newman-Keuls test is based on the studentized range statistic. Computationally, STATISTICA first sorts the means into ascending order. For each pair of means STATISTICA then assesses the probability under the null hypothesis (no differences between means in the population) of obtaining differences between means of this (or greater) magnitude, given the respective number of samples. Thus, it actually tests the significance of ranges, given the respective number of samples.

могу я попросить вас показать пальцем, откуда следует, что
а) Стьюдент (1908), Ньюмен (1939) и Кейлс (1952) сначала придумали параметрический тест, а потом по многочисленным просьбам трудящихся родили еще и непараметрический его вариант;
б) разработчики Статистики закодярили именно его.

Заранее спасибо за любезные разъяснения. Если с ответом затруднитесь, сразу сообщите.

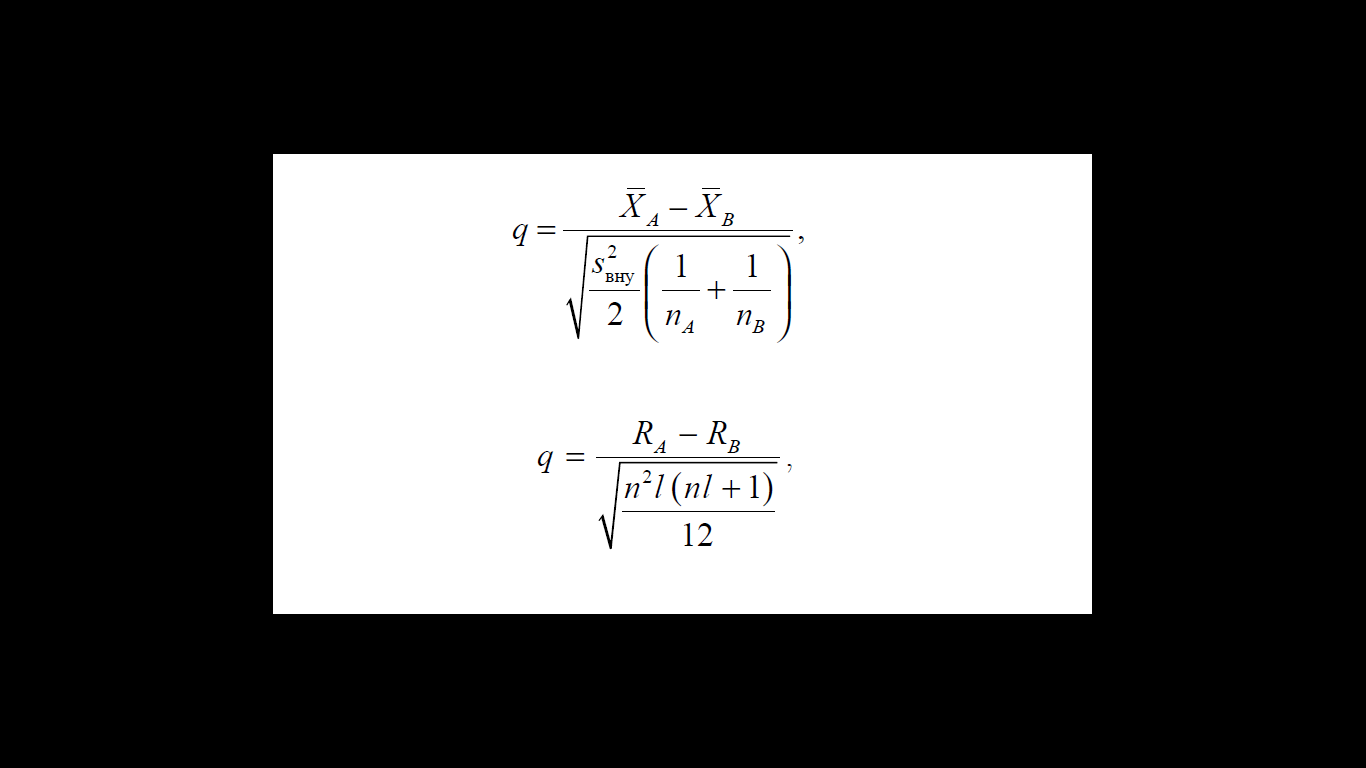
Если я правильно понял Ваш вопрос (который задан не в самой простой форме), Вас интересует отличие параметрического варианта критерия Ньюмена-Кейлса от непараметрического? Отвечу по мере сил. Надеюсь не требуется объяснять, что в случае нормального распределения работа ведется со средним и стандартным отклонением, а в случае ненормального с медианами и процентилями (квартилям).
С математической токи зрения:
формулу см скриншот.
1) формула где A X и B X - сравниваемые средние, s2 вну - внутригрупповая дисперсия, а nA и nB численность групп.
2) формула где RA RB - суммы рантов двух сравниваемых выборок, n - объем каждой выборки, l - интервал сравнения.
В очередной раз повторюсь, меня не интересует математическое выражение того или иного критерия, а только ВЫЧИСЛЕНИЕ ЕГО В ПРОГРАММЕ STATISTICA STATSOFT.
Доступ к вкладке (который нам объяснила DrgLena) , в прикрепленном Вами скриншоте, можно получить после дисперсионного анализа, после критерия ФРИДМАНА - непараметрического аналога
дисперсионного анализа повторных измерений, ничего похожего я не нашел. Даже если допустить, что параметрический критерий Ньюмена-Кейлса= непараметрическому критерию Ньюмена-Кейлса, вопрос все равно остается открытым, как считать последний в ПРОГРАММЕ STATISTICA STATSOFT?
Пункт б) "разработчики Статистики закодярили именно его" не понял, что это вопрос или утверждение?
Надеюсь ответил на Ваш вопрос. Кто именно "рожал" непараметрический критерий Ньюмена-Кейлса, я не знаю.
P.S. Был бы благодарен за ответы по существу.

Сообщение отредактировал grergi - 17.04.2014 - 11:38
Эскизы прикрепленных изображений
Прикрепленное изображение
 
Вернуться в начало страницы
 
+Ответить с цитированием данного сообщения
 
100$
сообщение 17.04.2014 - 11:47
Сообщение #29





Группа: Пользователи
Сообщений: 902
Регистрация: 23.08.2010
Пользователь №: 22694



Цитата(grergi @ 17.04.2014 - 12:14) *
Если я правильно понял Ваш вопрос (который задан не в самой простой форме), Вас интересует отличие параметрического варианта критерия Ньюмена-Кейлса от непараметрического? Отвечу по мере сил. Надеюсь не требуется объяснять, что в случае нормального распределения работа ведется со средним и стандартным отклонением, а в случае ненормального с медианами и процентилями (квартилям).
С математической токи зрения:
формулу см скриншот.
1) формула где A X и B X - сравниваемые средние, s2 вну - внутригрупповая дисперсия, а nA и nB численность групп.
2) формула где RA RB - суммы рантов двух сравниваемых выборок, n - объем каждой выборки, l - интервал сравнения.
В очередной раз повторюсь, меня не интересует математическое выражение того или иного критерия, а только ВЫЧИСЛЕНИЕ ЕГО В ПРОГРАММЕ STATISTICA STATSOFT.
Доступ к вкладке (который нам объяснила DrgLena) , в прикрепленном Вами скриншоте, можно получить после дисперсионного анализа, после критерия ФРИДМАНА - непараметрического аналога
дисперсионного анализа повторных измерений, ничего похожего я не нашел. Даже если допустить, что параметрический критерий Ньюмена-Кейлса= непараметрическому критерию Ньюмена-Кейлса, вопрос все равно остается открытым, как считать последний в ПРОГРАММЕ STATISTICA STATSOFT?
Пункт б) "разработчики Статистики закодярили именно его" не понял, что это вопрос или утверждение?
Надеюсь ответил на Ваш вопрос. Кто именно "рожал" непараметрический критерий Ньюмена-Кейлса, я не знаю.
P.S. Был бы благодарен за ответы по существу.


Ну, ладно, спрошу проще.

Как из приведенной цитаты определить, что в программе реализован именно непараметрический вариант? Может, вы зря его ищете?

Цитата
Кто именно "рожал" непараметрический критерий Ньюмена-Кейлса, я не знаю.


А откуда эти формулы? Происхождение этого скриншота уточните, пож-ста.

Сообщение отредактировал 100$ - 17.04.2014 - 11:51
Вернуться в начало страницы
 
+Ответить с цитированием данного сообщения
 
grergi
сообщение 17.04.2014 - 12:00
Сообщение #30





Группа: Пользователи
Сообщений: 43
Регистрация: 12.04.2014
Пользователь №: 26319



Цитата(100$ @ 17.04.2014 - 12:47) *
Ну, ладно, спрошу проще.

Как из приведенной цитаты определить, что в программе реализован именно непараметрический вариант? Может, вы зря его ищете?

Post hoc в дисперсионном анализе - параметрический критерий Ньюмена-Кейлса, очевидно должен существовать Post hoc после критерия Фридмана, и один из его вариантов - непараметрический критерий Ньюмена-Кейлса. Это здравый смысл.
Вернуться в начало страницы
 
+Ответить с цитированием данного сообщения
 
grergi
сообщение 17.04.2014 - 12:02
Сообщение #31





Группа: Пользователи
Сообщений: 43
Регистрация: 12.04.2014
Пользователь №: 26319



Цитата(100$ @ 17.04.2014 - 12:47) *
А откуда эти формулы? Происхождение этого скриншота уточните, пож-ста.

Медико-Биологическая статистика Стентон Гланц.
Вернуться в начало страницы
 
+Ответить с цитированием данного сообщения
 
DrgLena
сообщение 17.04.2014 - 12:58
Сообщение #32





Группа: Пользователи
Сообщений: 1325
Регистрация: 27.11.2007
Пользователь №: 4573



В программе Statisitica Friedman ANOVA, в отличие от Kruckal - Wallis ANOVA не реализованы вообще попарные сравнения, но суммы рангов выдаются и дальше руками таблицами в том же Гланце.
Вернуться в начало страницы
 
+Ответить с цитированием данного сообщения
 
100$
сообщение 17.04.2014 - 12:59
Сообщение #33





Группа: Пользователи
Сообщений: 902
Регистрация: 23.08.2010
Пользователь №: 22694



Цитата(grergi @ 17.04.2014 - 13:00) *
Post hoc в дисперсионном анализе - параметрический критерий Ньюмена-Кейлса, очевидно должен существовать Post hoc после критерия Фридмана, и один из его вариантов - непараметрический критерий Ньюмена-Кейлса. Это здравый смысл.


Тогда я нашел подходящее применение вашему здравому смыслу: набрать в справочной системе Статистики требуемые ключевые слова и дождаться-таки ответа по существу. Держите нас в курсе.
Вернуться в начало страницы
 
+Ответить с цитированием данного сообщения
 
grergi
сообщение 17.04.2014 - 16:43
Сообщение #34





Группа: Пользователи
Сообщений: 43
Регистрация: 12.04.2014
Пользователь №: 26319



Цитата(DrgLena @ 17.04.2014 - 13:58) *
В программе Statisitica Friedman ANOVA, в отличие от Kruckal - Wallis ANOVA не реализованы вообще попарные сравнения, но суммы рангов выдаются и дальше руками таблицами в том же Гланце.

DrgLena, спасибо.
Вернуться в начало страницы
 
+Ответить с цитированием данного сообщения
 
DrgLena
сообщение 17.04.2014 - 17:08
Сообщение #35





Группа: Пользователи
Сообщений: 1325
Регистрация: 27.11.2007
Пользователь №: 4573



Если вы ограничены только Statistica, то парные сравнения после Фридмана можете сделать, используя Вилкоксона, сделав поправку на число сравнений. Но если есть SPSS, то до 18 версии есть готовый скрипт, а после уже встроены множественные сравнения. Но у меня нет лицензии на непараметрику в SPSS. Есть также готовый скрипт для R, что совершенно бесплатно smile.gif
http://timo.gnambs.at/en/scripts/friedmanposthoc
Вернуться в начало страницы
 
+Ответить с цитированием данного сообщения
 
nokh
сообщение 23.04.2014 - 19:05
Сообщение #36





Группа: Пользователи
Сообщений: 1219
Регистрация: 13.01.2008
Из: Челябинск
Пользователь №: 4704



Прикрепляю пошаговую инструкцию проведения однофакторного ДА в Statistica двумя способами:
1) Через модуль "ДА с повторными измерениями"
2) Через модуль "Общие линейные модели"
Материал не претендует на полноту, но основная траектория дана.

>100$
В выводах есть частично ответ на вопрос в #22. Со сферичностью и вообще смешанными моделями пока не имел возможности разобраться, хотя даже несколько книжек хороших скачал. Здесь я не в теме.

Результаты аналогичные подходу (1) легко получаются в R. Результаты (2) полностью совпадают с тем, что можно получить в SPSS, но в R я пока не смог получить в точности такую же таблицу без того, чтобы досчитывать что-то вручную (пытался не с этим, а более сложным дисперсионным комплексом, но думаю и здесь не получится).

>grergi
Для апостериорных сравнений после критерия Фридмана используется критерий Неменьи, предложенный в 1963 г. (Nemenyi, 1963). Описывался также в работах Marascuilo & McSweeney (1977) и Miller (1981), однако приобрёл популярность после выхода в 1984 г. книги Шайха и Хэмерли (Schaich, Hamerle, 1984) в связи с чем часто необоснованно и неправильно называется их именами (Schaich-Hamerle test). Метод представляет собой прямой ранговый аналог критерия множественных сравнений Шеффе (Sheffe's test) в дисперсионном анализе, т.е. это достаточно консервативный критерий. Учитывая сверхмалый объём выборки целиком уходить в непараметрику нецелесообразно.

Сообщение отредактировал nokh - 23.04.2014 - 19:21
Прикрепленные файлы
 
Вернуться в начало страницы
 
+Ответить с цитированием данного сообщения
 
100$
сообщение 23.04.2014 - 20:52
Сообщение #37





Группа: Пользователи
Сообщений: 902
Регистрация: 23.08.2010
Пользователь №: 22694



Цитата(nokh @ 23.04.2014 - 20:05) *
>100$
В выводах есть частично ответ на вопрос в #22. Со сферичностью и вообще смешанными моделями пока не имел возможности разобраться, хотя даже несколько книжек хороших скачал. Здесь я не в теме.


Nokh, за проделанную работу спасибо. Все-таки Статистике в смысле документирования алгоритмов далеко до IBM SPSS или SAS.
Вопрос о статистике Дарбина-Уотсона снимаю: обе модели дают одинаковый протокол оценивания.
В настройках пункта 4) на с.7. есть смысл выставить галочку "No intercept": толку от этого интерцепта все равно никакого. Ежу понятно, что генеральное среднее будет статистически значимо. Хотя британские ученые недавно доказали, что ежу, как раз, ничего не понятно.)

И, напоследок, личная просьба:
1) нельзя ли выложить результаты тестирования сферичности для данного случая - теста Моучли (Mauchly);
2) если в упомянутой скачанной литературе вам попадется матричная запись Sigma-restricted модели для данного случая просьба выложить. Я что-то никак ее не найду для дизайна с повторными измерениями.
Вернуться в начало страницы
 
+Ответить с цитированием данного сообщения
 
nokh
сообщение 23.04.2014 - 21:49
Сообщение #38





Группа: Пользователи
Сообщений: 1219
Регистрация: 13.01.2008
Из: Челябинск
Пользователь №: 4704



Цитата(100$ @ 23.04.2014 - 23:52) *
1) нельзя ли выложить результаты тестирования сферичности для данного случая - теста Моучли (Mauchly);

Mauchley Sphericity Test
Sigma-restricted parameterization
Effective hypothesis decomposition
W=0,882320; Chi-Sqr.=0,751200; df=2; p=0,686877

По поводу свободного члена (intercept) - согласен. В видео, которое когда-то выкладывал тоже эту галочку убирал. Хотя в статпроверке этого члена модели смысла нет, в самом его присутствии в результатах пакета - есть. Т.е. если записывать модель как: у=мю+эффекты+взаимодействия+ошибка, то и представлять её нужно в таком виде. В принципе логика составителей пакета понятна: если оцениваем всё, почему бы не проверить и мю.

Формулы посмотрю.

Сообщение отредактировал nokh - 23.04.2014 - 21:58
Вернуться в начало страницы
 
+Ответить с цитированием данного сообщения
 
100$
сообщение 23.04.2014 - 22:31
Сообщение #39





Группа: Пользователи
Сообщений: 902
Регистрация: 23.08.2010
Пользователь №: 22694



Цитата(nokh @ 23.04.2014 - 22:49) *
Mauchley Sphericity Test
Sigma-restricted parameterization
Effective hypothesis decomposition
W=0,882320; Chi-Sqr.=0,751200; df=2; p=0,686877

По поводу свободного члена (intercept) - согласен. В видео, которое когда-то выкладывал тоже эту галочку убирал. Хотя в статпроверке этого члена модели смысла нет, в самом его присутствии в результатах пакета - есть. Т.е. если записывать модель как: у=мю+эффекты+взаимодействия+ошибка, то и представлять её нужно в таком виде. В принципе логика составителей пакета понятна: если оцениваем всё, почему бы не проверить и мю.

Формулы посмотрю.


Еще раз спасибо.
Вернуться в начало страницы
 
+Ответить с цитированием данного сообщения
 
anserovtv
сообщение 24.04.2014 - 08:31
Сообщение #40





Группа: Пользователи
Сообщений: 219
Регистрация: 4.06.2013
Из: Тверь
Пользователь №: 24927



Критерий Моучли (с информацией о коррекции).

Сообщение отредактировал anserovtv - 24.04.2014 - 19:56
Прикрепленные файлы
Прикрепленный файл  Тест_Моучли_с_коррекцией.bmp ( 536,65 килобайт ) Кол-во скачиваний: 1056
 
Вернуться в начало страницы
 
+Ответить с цитированием данного сообщения
 
100$
сообщение 24.04.2014 - 09:06
Сообщение #41





Группа: Пользователи
Сообщений: 902
Регистрация: 23.08.2010
Пользователь №: 22694



Цитата(anserovtv @ 24.04.2014 - 09:31) *
Критерий Моучли с коррекцией.


Ну вот, наконец, совместными усилиями удалось сделать тему интересной.
Слово "коррекция" относится к методике расчета теста? Или к эпсилон-коррекции числа степеней свободы для F-теста? Почему Statistica и SPSS дают разные значения теста и хи2-аппроксимации?
Я это к тому, что раз тест Моучли гипотезу о сферичности не отвергает, то в эпсилон-коррекции (Гринхауз-Гайссер, Юнх-Фельдт и Бокс (ограниченный снизу)) нет никакой надобности.
Вернуться в начало страницы
 
+Ответить с цитированием данного сообщения
 
anserovtv
сообщение 24.04.2014 - 12:27
Сообщение #42





Группа: Пользователи
Сообщений: 219
Регистрация: 4.06.2013
Из: Тверь
Пользователь №: 24927



Только эпсилон-коррекция... С остальным согласен. Почему результаты различны - не знаю.
Вроде бы данные ввел верно. Пакета Statistica у меня нет.
Вернуться в начало страницы
 
+Ответить с цитированием данного сообщения
 
DrgLena
сообщение 24.04.2014 - 15:21
Сообщение #43





Группа: Пользователи
Сообщений: 1325
Регистрация: 27.11.2007
Пользователь №: 4573



Цитата(anserovtv @ 24.04.2014 - 12:27) *
Почему результаты различны - не знаю.

In some of its documentation SPSS quotes a formula for calculating the p-value
associated with chi-squared statistic given above for Mauchly's W Statistic.
The p-value returned by these routines is based on the standard chi-squared
distribution using the statistic and p-value given above, rather then the formula
given in the SPSS documentation

Вернуться в начало страницы
 
+Ответить с цитированием данного сообщения
 
grergi
сообщение 24.04.2014 - 16:57
Сообщение #44





Группа: Пользователи
Сообщений: 43
Регистрация: 12.04.2014
Пользователь №: 26319



Цитата(nokh @ 23.04.2014 - 20:05) *
Прикрепляю пошаговую инструкцию проведения однофакторного ДА в Statistica двумя способами:
1) Через модуль "ДА с повторными измерениями"
2) Через модуль "Общие линейные модели"
Материал не претендует на полноту, но основная траектория дана.

>grergi
Для апостериорных сравнений после критерия Фридмана используется критерий Неменьи, предложенный в 1963 г. (Nemenyi, 1963). Описывался также в работах Marascuilo & McSweeney (1977) и Miller (1981), однако приобрёл популярность после выхода в 1984 г. книги Шайха и Хэмерли (Schaich, Hamerle, 1984) в связи с чем часто необоснованно и неправильно называется их именами (Schaich-Hamerle test). Метод представляет собой прямой ранговый аналог критерия множественных сравнений Шеффе (Sheffe's test) в дисперсионном анализе, т.е. это достаточно консервативный критерий. Учитывая сверхмалый объём выборки целиком уходить в непараметрику нецелесообразно.

Спасибо, nokh.
Вернуться в начало страницы
 
+Ответить с цитированием данного сообщения
 
DrgLena
сообщение 24.04.2014 - 17:56
Сообщение #45





Группа: Пользователи
Сообщений: 1325
Регистрация: 27.11.2007
Пользователь №: 4573



nokh спасибо, углубляемся дальше:)
Цитата(100$ @ 24.04.2014 - 09:06) *
Ну вот, наконец, совместными усилиями удалось сделать тему интересной.

Вот и мне интересно, почему anserov назвал Критерий Моучли с коррекцией, может, для коррекции. У меня 18 версия SPSS и полное совпадение со Statistica, может уже внесли исправления.
Не могу согласиться с выводами nokh, по результатам сравнения двух подходов в пользу второго. ANOVA для повторных измерений предполагает одно измерение в одной временной точке. Вот для двух или больше факторов при несвязанных выборках именно так, шаг за шагом, разбираясь кого куда вложить.
Анализ сферичности реализован и имеет смысл именно в модуле для повторных наблюдений. Выбор метода коррекции зависит от степени нарушения сферичности.
Наименее консервативный H-F дает практически полную сферичность для этого примера, более консервативен G-G, и наиболее консервативет Lower-Bound.

Прикрепленные файлы
Прикрепленный файл  f2.pdf ( 40,24 килобайт ) Кол-во скачиваний: 439
 
Вернуться в начало страницы
 
+Ответить с цитированием данного сообщения
 
100$
сообщение 24.04.2014 - 20:24
Сообщение #46





Группа: Пользователи
Сообщений: 902
Регистрация: 23.08.2010
Пользователь №: 22694



Цитата(DrgLena @ 24.04.2014 - 18:56) *
Наименее консервативный H-F дает практически полную сферичность для этого примера...


Не полемики ради, а истины токмо для рискну утверждать, что "давать" (т.е. отвергать или не отвергать гипотезу сферичности) может только статистический тест:
а) старенький (1940 г.р.) маломощный и раскритикованный тест Моучли;
б) тест Бартлетта на сферичность (1954);
в) тест, развитый в работах John, Nagao, Sugiura (1971-73).
Поелику в данной истории тест Моучли гипотезу сферичности не отвергает, на G-G, H-F etc. можно не обращать внимания.

Сообщение отредактировал 100$ - 24.04.2014 - 20:29
Вернуться в начало страницы
 
+Ответить с цитированием данного сообщения
 
nokh
сообщение 24.04.2014 - 20:37
Сообщение #47





Группа: Пользователи
Сообщений: 1219
Регистрация: 13.01.2008
Из: Челябинск
Пользователь №: 4704



Цитата(DrgLena @ 24.04.2014 - 20:56) *
Не могу согласиться с выводами nokh, по результатам сравнения двух подходов в пользу второго. ANOVA для повторных измерений предполагает одно измерение в одной временной точке. Вот для двух или больше факторов при несвязанных выборках именно так, шаг за шагом, разбираясь кого куда вложить.

Не понятно почему. Если результаты идентичные + ряд бонусов. В достаточно "крутом" и известном вам NCSS вообще никаких sigma-restricted моделей нет:
http://www.ncss.com/wp-content/themes/ncss...of_Variance.pdf
стр. 214-24. Example 2. Single Group Repeated Measures Design
Всё в точноти как у меня в Способе 2, с нулевой ошибкой (из-за которой, кстати, SPSS глупо отказывается считать пост-хоки).

Ну и в нашей Реальности Statistica и SPSS действительно выдают одинаковый результат:

Сообщение отредактировал nokh - 24.04.2014 - 22:47
Эскизы прикрепленных изображений
Прикрепленное изображение
 
Вернуться в начало страницы
 
+Ответить с цитированием данного сообщения
 
DrgLena
сообщение 24.04.2014 - 20:41
Сообщение #48





Группа: Пользователи
Сообщений: 1325
Регистрация: 27.11.2007
Пользователь №: 4573



to 100$ Совершенно согласна, поэтому H-F ничего не корректирует

Сообщение отредактировал DrgLena - 24.04.2014 - 20:45
Вернуться в начало страницы
 
+Ответить с цитированием данного сообщения
 
DrgLena
сообщение 24.04.2014 - 22:54
Сообщение #49





Группа: Пользователи
Сообщений: 1325
Регистрация: 27.11.2007
Пользователь №: 4573



Цитата(nokh @ 24.04.2014 - 20:37) *
Не понятно почему.

Я и в NCSS использую Repeated Measures ANOVA , результат по примеру из документации, который подробно описан, прикладываю.
Прикрепленные файлы
Прикрепленный файл  exercise1.RTF ( 72,89 килобайт ) Кол-во скачиваний: 336
 
Вернуться в начало страницы
 
+Ответить с цитированием данного сообщения
 
DrgLena
сообщение 24.04.2014 - 23:21
Сообщение #50





Группа: Пользователи
Сообщений: 1325
Регистрация: 27.11.2007
Пользователь №: 4573



Цитата(nokh @ 24.04.2014 - 20:37) *
Ну и в нашей Реальности Statistica и SPSS действительно выдают одинаковый результат:

И NCSS тоже, кроме того предлагает 14 МС тестов, один привожу

Прикрепленные файлы
Прикрепленный файл  forum.RTF ( 52,76 килобайт ) Кол-во скачиваний: 336
 
Вернуться в начало страницы
 
+Ответить с цитированием данного сообщения
 
nokh
сообщение 27.04.2014 - 08:20
Сообщение #51





Группа: Пользователи
Сообщений: 1219
Регистрация: 13.01.2008
Из: Челябинск
Пользователь №: 4704



Цитата(DrgLena @ 25.04.2014 - 02:21) *
И NCSS тоже, кроме того предлагает 14 МС тестов, один привожу

Радует, что наши реальности совпадают и Ваш материл подтверждает мою позицию smile.gif Задать анализ для повторных измерений в ДА можно двумя способами: (1) с использованием Sigma-restricted Model и (2) Overparameterized Model. Насколько я понимаю подход (2) более старый, классический, а подход (1) - новее, широко используется в обобщённых линейных моделях (могу ошибаться). Обе модели приводят к абсолютно идентичному результату, хотя требования моделей разные, не все проверки возможны.
Для выбора способа анализа разные пакеты предоставляют разные механизмы. В пакетах Statistica и SPSS в модуле Repeated measures ANOVA возможно задание только Sigma-restricted model, это видно и по способу расположения данных повторных измерений в соседних колонках и по таблице результатов ДА, дающих только фактор и ошибку. В пакете NCSS - в модуле Repeated measures ANOVA возможно задать только Overparameterized Model. Это видно и по структуре данных для анализа, включающих в качестве отельного фактора "индивида", и по результатам (большая таблица с взаимодействиями и нулевой ошибкой в самой маленькой ячейке комплекса). Поскольку для меня принципиально, что Overparameterized Model позоляет извлечь из данных больше информации + получить представление о характере распределения показателя (и, возможно, о необходимости использования преобразований) я нашёл способ построения такой модели в Statistica и SPSS - через модуль General Linear Models. Собственно он и изложен в инструкции как способ 2.
Вернуться в начало страницы
 
+Ответить с цитированием данного сообщения
 
nokh
сообщение 27.04.2014 - 09:23
Сообщение #52





Группа: Пользователи
Сообщений: 1219
Регистрация: 13.01.2008
Из: Челябинск
Пользователь №: 4704



Цитата(100$ @ 23.04.2014 - 23:52) *
2) если в упомянутой скачанной литературе вам попадется матричная запись Sigma-restricted модели для данного случая просьба выложить. Я что-то никак ее не найду для дизайна с повторными измерениями.

В своих книгах быстро не нашёл. Но посмотрите может это близко и поможет?: http://frank.itlab.us/datamodel/node103.html
Ещё вот хорошая книжка "на вырост" по смешанным моделям (включая ANOVA). Матричной формы там хоть отбавляй! Будет лежать неделю: http://yadi.sk/d/sKDILr_RNMiEy

Вернуться в начало страницы
 
+Ответить с цитированием данного сообщения
 
100$
сообщение 27.04.2014 - 12:16
Сообщение #53





Группа: Пользователи
Сообщений: 902
Регистрация: 23.08.2010
Пользователь №: 22694



Цитата(nokh @ 27.04.2014 - 10:23) *
В своих книгах быстро не нашёл. Но посмотрите может это близко и поможет?: http://frank.itlab.us/datamodel/node103.html
Ещё вот хорошая книжка "на вырост" по смешанным моделям (включая ANOVA). Матричной формы там хоть отбавляй! Будет лежать неделю: http://yadi.sk/d/sKDILr_RNMiEy


Да, спасибо, я сейчас в этой книженции роюсь
Вернуться в начало страницы
 
+Ответить с цитированием данного сообщения
 
DrgLena
сообщение 27.04.2014 - 14:25
Сообщение #54





Группа: Пользователи
Сообщений: 1325
Регистрация: 27.11.2007
Пользователь №: 4573



Цитата(nokh @ 27.04.2014 - 08:20) *
Радует, что наши реальности совпадают

Не совсем
Цитата(nokh @ 27.04.2014 - 08:20) *
Задать анализ для повторных измерений в ДА можно двумя способами: (1) с использованием Sigma-restricted Model и (2) Overparameterized Model. Насколько я понимаю подход (2) более старый, классический, а подход (1) - новее, широко используется в обобщённых линейных моделях (могу ошибаться

Задать анализ можно, действительно, в двух модулях, если речь идет о Statistica, как вы это и показали. Но оба метода параметризации вы можете использовать в каждом подходе. Сделайте метку Lack of fit в ANOVA для повторных измерений и получите избыточную параметризацию.
А в подходе 2 таже есть и сигма ограниченная и избыточная модель параметризации.
Цитата(nokh @ 27.04.2014 - 08:20) *
Для выбора способа анализа разные пакеты предоставляют разные механизмы. В пакетах Statistica и SPSS в модуле Repeated measures ANOVA возможно задание только Sigma-restricted model, это видно и по способу расположения данных повторных измерений в соседних колонках и по таблице результатов ДА, дающих только фактор и ошибку. В пакете NCSS - в модуле Repeated measures ANOVA возможно задать только Overparameterized Model. Это видно и по структуре данных для анализа, включающих в качестве отельного фактора "индивида", и по результатам (большая таблица с взаимодействиями и нулевой ошибкой в самой маленькой ячейке комплекса).

Где вы воообще задаете методы параметризации в NCSS ?
Вы можете посмотреть тот пример, который рассматривается в прикрепленной вами документации, где действительно, кроме времени есть еще фактор, и там субъект помещается не в поле фактор, а в поле Subject Var, но это не имеет отношения к параметризации.
Цитата(nokh @ 27.04.2014 - 08:20) *
Поскольку для меня принципиально, что Overparameterized Model позоляет извлечь из данных больше информации..

Какой именно?
Я вижу недостатки использования 2 методы в очень простых вещах.
Представление данных повторных наблюдений, как требует соответствующий модуль Statistica, в виде матрицы наблюдений, позволяет сразу вспомнить о сферичности. Средние попарные разницы у каждого объекта между периодами лежат в основе расчета критерия сферичности. Их можно легко получить. Кроме того, отсутствующие значения в одном из сроков наблюдения не попадут в расчет средних. Мне уже приходилось видеть результаты динамических наблюдений с различным числом наблюдений на разные сроки.
Кроме сферичности, большое значение для повторных измерений имеет Effect size, который также присутствует именно в этом модуле.
Есть вопрос о нарушении сферичности, если поправку все же приходится делать и вместо р=0,0001 имеем только 0,04 ,как это учитывается при проведении мнежественных сравнений.

Хорошую книжку читает 100$ спасибо, тема может иметь продолжение, только совсем времени не хватает smile.gif

Файл с примером из документации NSCC есть, могу выложить
Вернуться в начало страницы
 
+Ответить с цитированием данного сообщения
 
psychologist
сообщение 27.04.2014 - 14:28
Сообщение #55





Группа: Пользователи
Сообщений: 125
Регистрация: 2.04.2012
Пользователь №: 23616



Кстати тема под руку, что значит, если при проведении теста Моучли там где значимость стоит прочерк?
Эскизы прикрепленных изображений
Прикрепленное изображение
 
Вернуться в начало страницы
 
+Ответить с цитированием данного сообщения
 
DrgLena
сообщение 27.04.2014 - 14:55
Сообщение #56





Группа: Пользователи
Сообщений: 1325
Регистрация: 27.11.2007
Пользователь №: 4573



А потому что Измерение 1, а нужно и 2 и 3 как минимум
Вернуться в начало страницы
 
+Ответить с цитированием данного сообщения
 
DrgLena
сообщение 27.04.2014 - 21:42
Сообщение #57





Группа: Пользователи
Сообщений: 1325
Регистрация: 27.11.2007
Пользователь №: 4573



Цитата(nokh @ 27.04.2014 - 08:20) *
+ получить представление о характере распределения показателя (и, возможно, о необходимости использования преобразований)


Эти возможности откроются в модуле ANOVA для повторных измерений тогда, когда у вас появится кроме времени еще фактор, эффект которого вас интересует.
Вернуться в начало страницы
 
+Ответить с цитированием данного сообщения
 
psychologist
сообщение 27.04.2014 - 21:56
Сообщение #58





Группа: Пользователи
Сообщений: 125
Регистрация: 2.04.2012
Пользователь №: 23616



DrgLena а сколько там должно быть измерений? у меня замер до психотерапии и замер после нее по одной переменной.
Вернуться в начало страницы
 
+Ответить с цитированием данного сообщения
 
DrgLena
сообщение 27.04.2014 - 22:15
Сообщение #59





Группа: Пользователи
Сообщений: 1325
Регистрация: 27.11.2007
Пользователь №: 4573



Я же написала, 3 как минимум, почитайте определение сферичности, посмотрите как она оценивается.
Вернуться в начало страницы
 
+Ответить с цитированием данного сообщения
 
psychologist
сообщение 27.04.2014 - 23:23
Сообщение #60





Группа: Пользователи
Сообщений: 125
Регистрация: 2.04.2012
Пользователь №: 23616



Все Вас понял. Но не мой случай, тут их только одно до и после.
Вернуться в начало страницы
 
+Ответить с цитированием данного сообщения
 
nokh
сообщение 28.04.2014 - 19:05
Сообщение #61





Группа: Пользователи
Сообщений: 1219
Регистрация: 13.01.2008
Из: Челябинск
Пользователь №: 4704



> DrgLena. Реальности совпадают, это только мнения расходятся smile.gif
Мой опыт говорит в пользу способа 2, но я не могу этого доказать, т.к. это - опыт. В моём опыте были сложные дисперсионные комплексы, где нужно было раскладывать изменчивость на составляющие компоненты. Самые сложные были в экологии - при анализе морфологических и морфогенетических данных. Времени тоже мало, но как-нибудь выложу в эту тему ручной расчёт математических ожидаемых и компонентов дисперсии для способа 2. Я вполне допускаю, что способ 1 имеет свои преимущества и с точки зрения вашего опыта более существенны именно они. К тому же вы больше работали с медицинскими данными. Буду признателен за какой-нибуть краткий материал-ликбез по сферичности - этой весной авитаминоз принял неприятную форму: просто засыпаю над текстами...
Вернуться в начало страницы
 
+Ответить с цитированием данного сообщения
 

5 страниц V   1 2 3 > » 
Добавить ответ в эту темуОткрыть тему