Здравствуйте, гость ( Вход | Регистрация )
6.11.2022 - 08:07
Сообщение
#1
|
|
|
Группа: Пользователи Сообщений: 290 Регистрация: 1.06.2022 Из: Донецк Пользователь №: 39632 |
Широко используется буржуями для предсказания счетной зависимой переменной, если она в силу дизайна эксперимента не может принимать нулевое значение (ну, например количество прыщей посчитали только на тех больных, которые обратились с жалобами на прыщи). Интерпретация параметров таких моделей заковыриста: https://stats.stackexchange.com/questions/4...ts?noredirect=1
Вопрос: а почему с аналогичной целью нельзя применить обычную регрессию Пуассона, просто предварительно вычтя из всех значений зависимой переменной единицу? Пусть такая модель предсказывает не общее количество счетных единиц, а количество единиц, добавленных к одной обязательно имеющейся. Потом, если надо, добавляем к предсказанной величине единичку, и дело в шляпе! Но, судя по тому, как извращается народ именно с Zero-truncated Poisson regression, и ищет ее программные реализации, очевидно, предложенный мною альтернативный подход неправомерен. Но сколько я не ломал голову, так и не понял, почему. Прошу более головастых подсказать. И вдогонку еще один маленький вопросик: а как сабж будет грамотно обозвать по-русски? Регрессия Пуассона с усеченным нулем? |
|
|
![]() |
![]() |
![]() |
21.11.2022 - 18:27
Сообщение
#2
|
|
|
Группа: Пользователи Сообщений: 290 Регистрация: 1.06.2022 Из: Донецк Пользователь №: 39632 |
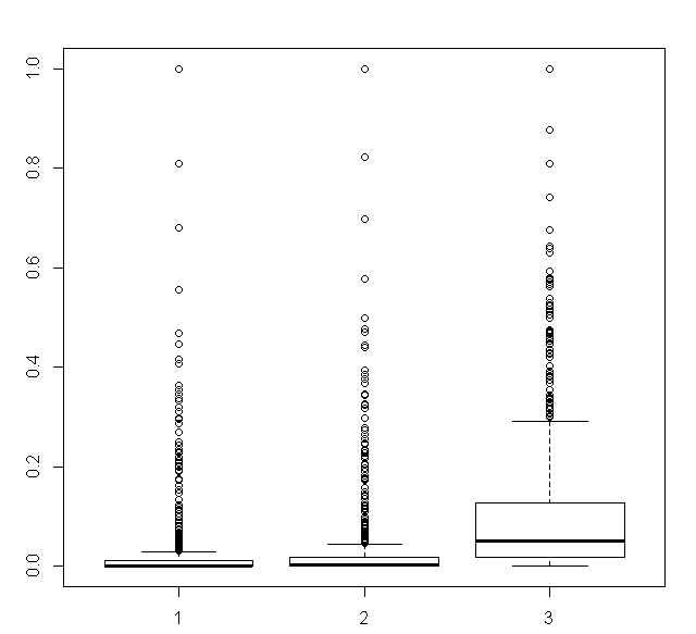
А вот в p разница существенная:
Код pr1<-rep(1, 50) pr2<-rep(2, 50) pr<-as.factor(c(pr1, pr2)) TestPoisReg2<-function(pr) { resp1<-rpospois(50, 0.6) resp2<-rpospois(50, 1.35) resp<-c(resp1, resp2) df<-data.frame(pr, resp) df$modresp<-df$resp-1 mod1<-glm(modresp~pr, data=df, family="poisson") prediction1<-predict(mod1, type="response")+1 p1<-coef(summary(mod1))[2,4] mod2<-vglm(resp~pr, data=df, family="pospoisson") p2<-coef(summary(mod2))[2,4] mod3<-glm(resp~pr, data=df, family="poisson") p3<-coef(summary(mod3))[2,4] return(c(p1, p2, p3)) } x<-replicate(1000, TestPoisReg2(pr=pr)) p1<-x[1,] p2<-x[2,] p3<-x[3,] boxplot(p1, p2, p3) Ну, третью модель (обычный Пуассон) можно отправлять сразу в мусорное ведро, потому что она пытается предсказать нули, которых нет, построенные по ней ДИ будут невозможными, соответственно и p тоже должно быть неправильное. А вот как сделать выбор между ?1 и ?2, понять какая из них больше врет в данном случае, я покамест не сообразил. Буду благодарен за подсказку. И все ж странно, почему при таких серьезных различиях в объясняющей составляющей (которая была ожидаема), в составляющей прогностической все три модели оказались практически одинаковыми. Сообщение отредактировал ИНО - 21.11.2022 - 18:33 |
|
|
![]() |
![]() |
ИНО Zero-truncated Poisson regression 6.11.2022 - 08:07
Диагностик Цитата(ИНО @ 6.11.2022 - 13:07) как ... 6.11.2022 - 10:40
Игорь По регрессии Пуассона есть хорошая книга. Свободно... 6.11.2022 - 16:55
Игорь Для Пуассона с нулевым усечением можно построить а... 6.11.2022 - 16:59
ИНО Сложность в том, что, вероятно, этот подход неправ... 6.11.2022 - 23:47
Диагностик Цитата(ИНО @ 7.11.2022 - 04:47) важн... 7.11.2022 - 00:50
ИНО Это как бы самоочевидно, что усеченный ноль находи... 7.11.2022 - 01:41
Диагностик Я отвечал на вопрос.
Цитата(ИНО @ 6.11.2022 ... 7.11.2022 - 11:00
ИНО Ну и? Каким образом данная Вами цитата о том, что ... 7.11.2022 - 11:04
Диагностик Усеченное до нуля распределение означает что нуль ... 7.11.2022 - 13:17
ИНО Спасибо, кэп! 8.11.2022 - 06:29
Диагностик Чем богат. 8.11.2022 - 15:17
Игорь Хотелось бы высказаться не в ответ, но по теме.
У ... 9.11.2022 - 16:49
ИНО Цитата(Игорь @ 9.11.2022 - 16:49) У ... 9.11.2022 - 17:50
Игорь Как-то в библиотеке заказал редкую статью, типа го... 10.11.2022 - 06:34
ИНО Печальный у Вас жизненный опыт, но не стоит обобща... 10.11.2022 - 07:31
100$ Цитата(ИНО @ 6.11.2022 - 08:07) Вопр... 12.11.2022 - 18:04
ИНО Благодарю за первый ответ качественный по существу... 13.11.2022 - 09:55
100$ Цитата(ИНО @ 13.11.2022 - 09:55) ...... 13.11.2022 - 15:27
ИНО Цитата(типа "зуб даю, этот чувак болен прыщам... 14.11.2022 - 00:52
100$ Цитата(ИНО @ 14.11.2022 - 00:52) Ту ... 14.11.2022 - 01:55
ИНО Что-то я Вас с каждым постом все меньше понимаю. З... 14.11.2022 - 10:06
100$ Цитата(ИНО @ 14.11.2022 - 10:06) Что... 14.11.2022 - 12:50
ИНО Что такое "школьная математика" я не в к... 15.11.2022 - 09:07
100$ Цитата(ИНО @ 15.11.2022 - 09:07) Та ... 15.11.2022 - 12:44
ИНО Как обычно, я попробовал развеять теоретический су... 18.11.2022 - 09:57
Диагностик Цитата(ИНО @ 18.11.2022 - 14:57) при... 18.11.2022 - 11:15
ИНО Параметр распределения Пуассона. В моем случае име... 18.11.2022 - 11:35
Диагностик Цитата(ИНО @ 18.11.2022 - 16:35) Пар... 18.11.2022 - 13:25
100$ Наконец-то наш естествоиспытатель сам признался, ч... 18.11.2022 - 16:07
comisora 2 ИНО
У меня не хватает компетенции ответить на В... 18.11.2022 - 21:57
comisora 2 ИНО
Ещё немного материала.
"In this chapt... 19.11.2022 - 13:58
ИНО 100$, я уже видел Ваши 100500 теоретических а... 19.11.2022 - 14:43
ИНО comisоra, в очередной раз спасибо за полезные ссыл... 19.11.2022 - 16:33
Диагностик Цитата(ИНО @ 19.11.2022 - 21:33) мож... 20.11.2022 - 10:33
ИНО Друг с другом. 20.11.2022 - 10:54
Диагностик И какая из них считается правильной? 20.11.2022 - 11:27
ИНО Этот вопрос лучше адресовать $100, поскольку ... 20.11.2022 - 12:07
comisora Цитата(ИНО @ 20.11.2022 - 12:07) Неп... 20.11.2022 - 12:47
ИНО Цитата(comisora @ 20.11.2022 - 12:47... 20.11.2022 - 18:36
comisora Цитата(ИНО @ 20.11.2022 - 18:36) Цел... 20.11.2022 - 22:21
100$ Я на том стою, что базовое распределение Пуассона,... 20.11.2022 - 13:41
ИНО 100$, а как по-вашему получается этот "п... 20.11.2022 - 14:03
100$ Цитата(ИНО @ 20.11.2022 - 14:03) 100... 20.11.2022 - 15:19
ИНО Слышал, что люди применительно к уровню знаний о к... 20.11.2022 - 17:59
100$ А что не так с CWTest()'ом?
Там, вроде бы, пер... 20.11.2022 - 21:55
ИНО 100$, А Вы тему просмотрите (благо тут из све... 20.11.2022 - 22:29
comisora Цитата(ИНО @ 20.11.2022 - 22:29) com... 20.11.2022 - 23:53

ИНО Цитата(comisora @ 20.11.2022 - 23:53... 21.11.2022 - 10:42

Диагностик Цитата(ИНО @ 21.11.2022 - 15:42) я и... 21.11.2022 - 11:29
100$ Цитата(ИНО @ 20.11.2022 - 22:29) 100... 21.11.2022 - 00:15
ИНО 100$, с каждым новым постом Вы все менее похо... 21.11.2022 - 10:18
ИНО Для любого в интервале от 0,001 до 2 (на больших н... 21.11.2022 - 12:00
Диагностик Цитата(ИНО @ 21.11.2022 - 17:00) Для... 24.11.2022 - 10:35
ИНО Итак, переходим к собственно регрессии. Пока что п... 21.11.2022 - 16:35
ИНО За отсутствием альтернативных предложений решил по... 23.11.2022 - 17:36
100$ Поциент скоро без упоминания меня и в сортире упра... 23.11.2022 - 18:23
ИНО Лучше работать над проблемой, пусть даже не всегда... 23.11.2022 - 20:26
Игорь Врачи-аспиранты, для которых создан форум, ознаком... 24.11.2022 - 07:41
ИНО Диагностик, при других лямбдах разница будет замет... 24.11.2022 - 11:55
Диагностик Цитата(ИНО @ 24.11.2022 - 16:55) Обс... 24.11.2022 - 12:20
Диагностик Цитата(ИНО @ 24.11.2022 - 16:55) Иго... 25.11.2022 - 06:38

ИНО Остановиться в развитии - весьма плохое предложени... 25.11.2022 - 11:38


Диагностик Цитата(ИНО @ 25.11.2022 - 16:38) объ... 25.11.2022 - 12:33


Диагностик Цитата(ИНО @ 25.11.2022 - 16:38) Воо... 25.11.2022 - 14:48


100$ Цитата(ИНО @ 25.11.2022 - 11:38) Уве... 25.11.2022 - 17:17


Диагностик Цитата(ИНО @ 25.11.2022 - 16:38) Моя... 26.11.2022 - 13:40

100$ Цитата(Диагностик @ 25.11.2022 - 06... 25.11.2022 - 13:35

Диагностик ЦитатаПрофессор на семинаре замечает, что один из ... 25.11.2022 - 14:06


100$ Дык аб том и речь, Диагностик, что, судя по вашим ... 25.11.2022 - 14:31

Диагностик Цитата(100$ @ 25.11.2022 - 18:3... 25.11.2022 - 14:31

100$ Цитата(Диагностик @ 25.11.2022 - 14... 25.11.2022 - 14:45
Диагностик Цитата(ИНО @ 24.11.2022 - 16:55) что... 26.11.2022 - 07:32
ИНО Специально два дня не читал эту тему (хотя видел, ... 27.11.2022 - 16:37
100$ Цитата(ИНО @ 27.11.2022 - 16:37) Спе... 29.11.2022 - 14:20
Диагностик Топикстартёру мною лично был задан вопрос. Он его ... 30.11.2022 - 10:39
100$ Тут вот еще какая штука выяснилась: на неотрицател... 30.11.2022 - 16:18
Диагностик См. Генераторы дискретно распределенных случайных ... 1.12.2022 - 01:51
Игорь Цитата(Диагностик @ 1.12.2022 - 02:5... 1.12.2022 - 06:43
Игорь Говорил выше, что библиотека примеров для исследов... 4.12.2022 - 11:06
100$ Я продолжу эту тему поиском ответа на основной воп... 4.12.2022 - 15:46![]() ![]() |