Форум врачей-аспирантов

Здравствуйте, гость ( Вход | Регистрация )

3 страниц V   1 2 3 >  
Добавить ответ в эту темуОткрыть тему
> Какие выборки считаются связанными
Stefa
сообщение 2.12.2011 - 07:39
Сообщение #1





Группа: Пользователи
Сообщений: 33
Регистрация: 31.07.2008
Пользователь №: 5185



Всем добрый день! Столкнулась с проблемой и просто зациклилась на ней. Пример из книги В.Ю. Урбаха : две делянки пшеницы, одна опыт, вторая контроль, измерялась урожайность раз в год.
Год| 1947|1948|1949|1950|1951|1952|1953
Опыт|22.9|20.2|19.5|30.5|35.6|31.9|27.7
Контроль|19.4|16.2|16.9|29.3|31.4|28.5|26.6
Для сравнения урожайности применяется критерий Стьюдента для парных выборок. У меня аналогичная задача, но я не могу доказать, почему эти выборки следует считать парными. На все мои объяснения, что опыт и контроль связаны годом, и что нельзя сравнивать урожайность первой делянки за 1947 год и урожайность второй делянки, например, за 1953г., а необходимо рассматривать именно пары, мне рассказывают про пациентов до и после лечения, и что там да, связанные, а здесь никакой связи нет. Может быть я не права? А если права, то, как объяснить так, чтобы не у кого не возникало никаких сомнений. Помогите, пожалуйста! Заранее большое спасибо.
Вернуться в начало страницы
 
+Ответить с цитированием данного сообщения
 
p2004r
сообщение 2.12.2011 - 09:14
Сообщение #2





Группа: Пользователи
Сообщений: 1091
Регистрация: 26.08.2010
Пользователь №: 22699



Цитата(Stefa @ 2.12.2011 - 07:39) *
У меня аналогичная задача, но я не могу доказать, почему эти выборки следует считать парными.


Вы забыли сказать в чем заключается ваша задача.


Signature
Вернуться в начало страницы
 
+Ответить с цитированием данного сообщения
 
Stefa
сообщение 2.12.2011 - 10:29
Сообщение #3





Группа: Пользователи
Сообщений: 33
Регистрация: 31.07.2008
Пользователь №: 5185



Прошу прощения. У меня два города и показатели числа коек на 1000 населения в них за 5 лет:
Год|2006|2007|2008|2009|2010
Город 1|8.5|8.8|7.9|7.5|8.1
Город 2|10.6|12.4|10.9|10.6|7.7
Вернуться в начало страницы
 
+Ответить с цитированием данного сообщения
 
p2004r
сообщение 2.12.2011 - 14:01
Сообщение #4





Группа: Пользователи
Сообщений: 1091
Регистрация: 26.08.2010
Пользователь №: 22699



Цитата(Stefa @ 2.12.2011 - 10:29) *
Прошу прощения. У меня два города и показатели числа коек на 1000 населения в них за 5 лет:
Год|2006|2007|2008|2009|2010
Город 1|8.5|8.8|7.9|7.5|8.1
Город 2|10.6|12.4|10.9|10.6|7.7


1 по моему сравнение с вегетацией растений и зависимостью от года не очень корректно в данном случае

2 модель данных другая, там все в течении года появляется и убирается. в случае койкомест большая их часть переходит от года к году. (может надо каким то образом отображать движение койкомест (прибыло - убыло))?

3 ну поскольку "глобус выдан" smile.gif попробуем посмотреть на данные smile.gif

Код
# считываем "как есть"

> read.table("data.txt",sep="|")
       V1     V2     V3     V4     V5     V6
1     Год 2006.0 2007.0 2008.0 2009.0 2010.0
2 Город 1    8.5    8.8    7.9    7.5    8.1
3 Город 2   10.6   12.4   10.9   10.6    7.7


# преобразуем в "широкий" датафрейм

data<-as.data.frame(t(read.table("data.txt",sep="|")[,2:6]))
names(data)<-read.table("data.txt",sep="|")[,1]

> data
    Год Город 1 Город 2
V2 2006     8.5    10.6
V3 2007     8.8    12.4
V4 2008     7.9    10.9
V5 2009     7.5    10.6
V6 2010     8.1     7.7

# преобразуем в "длинный" датафрейм
library(reshape)

> data.long<-melt(data=data,id.vars="Год", measure.vars=c("Город 1","Город 2"))
> data.long
    Год variable value
1  2006  Город 1   8.5
2  2007  Город 1   8.8
3  2008  Город 1   7.9
4  2009  Город 1   7.5
5  2010  Город 1   8.1
6  2006  Город 2  10.6
7  2007  Город 2  12.4
8  2008  Город 2  10.9
9  2009  Город 2  10.6
10 2010  Город 2   7.7

# строим модель смешанных эффектов

library(lme4)

# полную

> model.ful <- lmer(value ~ 1 + (1|Год) + (1|variable), data=data.long)
> model.ful
Linear mixed model fit by REML
Formula: value ~ 1 + (1 | Год) + (1 | variable)
   Data: data.long
   AIC   BIC logLik deviance REMLdev
41.91 43.12 -16.96       36   33.91
Random effects:
Groups   Name        Variance Std.Dev.
Год      (Intercept) 0.3120   0.55857
variable (Intercept) 2.3455   1.53150
Residual             1.2685   1.12628
Number of obs: 10, groups: Год, 5; variable, 2

Fixed effects:
            Estimate Std. Error t value
(Intercept)    9.300      1.167   7.969

# только год

> model.год <- lmer(value ~ 1 + (1|Год) , data=data.long)
> model.год
Linear mixed model fit by REML
Formula: value ~ 1 + (1 | Год)
   Data: data.long
   AIC   BIC logLik deviance REMLdev
43.27 44.17 -18.63    37.79   37.27
Random effects:
Groups   Name        Variance Std.Dev.
Год      (Intercept) 0.0000   0.0000  
Residual             2.8489   1.6879  
Number of obs: 10, groups: Год, 5

Fixed effects:
            Estimate Std. Error t value
(Intercept)   9.3000     0.5337   17.42

#только город

> model.город <- lmer(value ~ 1 +  (1|variable), data=data.long)
> model.город
Linear mixed model fit by REML
Formula: value ~ 1 + (1 | variable)
   Data: data.long
   AIC   BIC logLik deviance REMLdev
40.07 40.98 -17.04    36.12   34.07
Random effects:
Groups   Name        Variance Std.Dev.
variable (Intercept) 2.2831   1.5110  
Residual             1.5805   1.2572  
Number of obs: 10, groups: variable, 2

Fixed effects:
            Estimate Std. Error t value
(Intercept)     9.30       1.14   8.158

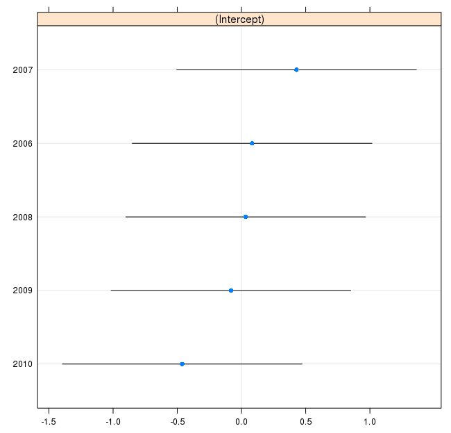
# отображаем все графически с доверительными интервалами

dotplot(ranef(model.ful, data=data.long, postVar = TRUE))$Год
dotplot(ranef(model.ful, data=data.long, postVar = TRUE))$variable
dotplot(ranef(model.год, data=data.long, postVar = TRUE))
dotplot(ranef(model.город, data=data.long, postVar = TRUE))

# ну и сами данные тоже отображаем графически

print(dotplot(reorder(Год, value) ~ value, data.long, groups = variable, ylab = "Год"))


судя по всему год не имеет достоверного вклада в модель (в качестве фактора дизайна эксперимента), отмечается слабая тенденция.

Книга (на простом английском языке) с описание методик анализа лежит здесь
http://lme4.r-forge.r-project.org/book/

отличия между моделями

Код
> anova(model.ful,model.город)
Data: data.long
Models:
model.город: value ~ 1 + (1 | variable)
model.ful: value ~ 1 + (1 | Год) + (1 | variable)
            Df    AIC    BIC  logLik  Chisq Chi Df Pr(>Chisq)
model.город  3 42.116 43.024 -18.058                        
model.ful    4 44.004 45.215 -18.002 0.1121      1     0.7378
> anova(model.ful,model.год)
Data: data.long
Models:
model.год: value ~ 1 + (1 | Год)
model.ful: value ~ 1 + (1 | Год) + (1 | variable)
          Df    AIC    BIC  logLik  Chisq Chi Df Pr(>Chisq)
model.год  3 43.794 44.702 -18.897                        
model.ful  4 44.004 45.215 -18.002 1.7903      1     0.1809
> anova(model.год,model.город)
Data: data.long
Models:
model.год: value ~ 1 + (1 | Год)
model.город: value ~ 1 + (1 | variable)
            Df    AIC    BIC  logLik  Chisq Chi Df Pr(>Chisq)    
model.год    3 43.794 44.702 -18.897                            
model.город  3 42.116 43.024 -18.058 1.6782      0  < 2.2e-16 ***
---
Signif. codes:  0 ?***? 0.001 ?**? 0.01 ?*? 0.05 ?.? 0.1 ? ? 1
>


Сообщение отредактировал p2004r - 2.12.2011 - 14:31
Эскизы прикрепленных изображений
Прикрепленное изображение
Прикрепленное изображение
Прикрепленное изображение
Прикрепленное изображение


Прикрепленное изображение
 


Signature
Вернуться в начало страницы
 
+Ответить с цитированием данного сообщения
 
p2004r
сообщение 2.12.2011 - 14:26
Сообщение #5





Группа: Пользователи
Сообщений: 1091
Регистрация: 26.08.2010
Пользователь №: 22699



Введем год в модель в качестве предиктора

Код
> model <- lmer(value ~ Год  + (1|variable), data=data.long)
> model
Linear mixed model fit by REML
Formula: value ~ Год + (1 | variable)
   Data: data.long
   AIC   BIC logLik deviance REMLdev
39.45 40.66 -15.72    32.28   31.45
Random effects:
Groups   Name        Variance Std.Dev.
variable (Intercept) 2.3721   1.5402  
Residual             1.1342   1.0650  
Number of obs: 10, groups: variable, 2

Fixed effects:
            Estimate Std. Error t value
(Intercept) 983.1800   478.1898   2.056
Год          -0.4850     0.2381  -2.037

Correlation of Fixed Effects:
    (Intr)
Год -1.000
Предупреждения
1: 'abbreviate' использована с не-ASCII символами
2: 'abbreviate' использована с не-ASCII символами
> anova(model.ful,model)
Data: data.long
Models:
model.ful: value ~ 1 + (1 | Год) + (1 | variable)
model: value ~ Год + (1 | variable)
          Df    AIC    BIC  logLik  Chisq Chi Df Pr(>Chisq)    
model.ful  4 44.004 45.215 -18.002                            
model      4 40.284 41.494 -16.142 3.7201      0  < 2.2e-16 ***
---
Signif. codes:  0 ?***? 0.001 ?**? 0.01 ?*? 0.05 ?.? 0.1 ? ? 1

> dotplot(ranef(model, data=data.long, postVar = TRUE))


города достоверно отличаются, влияние переменной "год" существенно.

ну и отобразим графически эти простые модели

Код
print(xyplot(value ~ Год | variable, data.long, aspect = "xy",
             panel = function(...) {
                 panel.xyplot(...)
                 panel.abline(lm(data.long$value[as.numeric(data.long$variable)==packet.number()] ~ data.long$Год[as.numeric(data.long$variable)==packet.number()]))
                 panel.abline(fixef(model),
                              col.line = "red",
                              lty = 1
                              )
                 panel.abline(fixef(model.ful),
                              col.line = "green",
                              lty = 2
                              )
             } ))


Сообщение отредактировал p2004r - 2.12.2011 - 16:45
Эскизы прикрепленных изображений
Прикрепленное изображение
Прикрепленное изображение
 


Signature
Вернуться в начало страницы
 
+Ответить с цитированием данного сообщения
 
100$
сообщение 2.12.2011 - 15:03
Сообщение #6





Группа: Пользователи
Сообщений: 902
Регистрация: 23.08.2010
Пользователь №: 22694



Цитата(Stefa @ 2.12.2011 - 07:39) *
Всем добрый день! Столкнулась с проблемой и просто зациклилась на ней. Пример из книги В.Ю. Урбаха : две делянки пшеницы, одна опыт, вторая контроль, измерялась урожайность раз в год.
Год| 1947|1948|1949|1950|1951|1952|1953
Опыт|22.9|20.2|19.5|30.5|35.6|31.9|27.7
Контроль|19.4|16.2|16.9|29.3|31.4|28.5|26.6
Для сравнения урожайности применяется критерий Стьюдента для парных выборок.


Stefa, скажите, а уважаемый Урбах описал вероятностно-статистическую модель порождения данных? Какая гипотеза проверяется?
Если не описал - выбросьте эту книгу не только из головы, но и из дома.
Вернуться в начало страницы
 
+Ответить с цитированием данного сообщения
 
p2004r
сообщение 2.12.2011 - 19:48
Сообщение #7





Группа: Пользователи
Сообщений: 1091
Регистрация: 26.08.2010
Пользователь №: 22699



Цитата(Stefa @ 2.12.2011 - 07:39) *
Год| 1947|1948|1949|1950|1951|1952|1953
Опыт|22.9|20.2|19.5|30.5|35.6|31.9|27.7
Контроль|19.4|16.2|16.9|29.3|31.4|28.5|26.6


Ну а для сельскохозяйственного опыта все в порядке, для дизайна эксперимента как раз значим год. А участок ничего не вносит.

Код
> data.s.long<-melt(data=data.s,id.vars="Год", measure.vars=c("Опыт","Контроль"))
> data.s.long
    Год variable value
1  1947     Опыт  22.9
2  1948     Опыт  20.2
3  1949     Опыт  19.5
4  1950     Опыт  30.5
5  1951     Опыт  35.6
6  1947 Контроль  19.4
7  1948 Контроль  16.2
8  1949 Контроль  16.9
9  1950 Контроль  29.3
10 1951 Контроль  31.4
> model.s.ful <- lmer(value ~ 1 + (1|Год) + (1|variable), data=data.s.long)
> model.s.ful
Linear mixed model fit by REML
Formula: value ~ 1 + (1 | Год) + (1 | variable)
   Data: data.s.long
   AIC   BIC logLik deviance REMLdev
56.32 57.54 -24.16    52.62   48.32
Random effects:
Groups   Name        Variance Std.Dev.
Год      (Intercept) 49.693   7.04933
variable (Intercept)  4.654   2.15731
Residual              0.755   0.86891
Number of obs: 10, groups: Год, 5; variable, 2

Fixed effects:
            Estimate Std. Error t value
(Intercept)   24.190      3.513   6.886
> model.s.год <- lmer(value ~ 1 + (1|Год) , data=data.s.long)
> model.s.год
Linear mixed model fit by REML
Formula: value ~ 1 + (1 | Год)
   Data: data.s.long
   AIC   BIC logLik deviance REMLdev
60.71 61.62 -27.36     58.8   54.71
Random effects:
Groups   Name        Variance Std.Dev.
Год      (Intercept) 47.366   6.8823  
Residual              5.409   2.3257  
Number of obs: 10, groups: Год, 5

Fixed effects:
            Estimate Std. Error t value
(Intercept)   24.190      3.164   7.645
> model.s.опыт <- lmer(value ~ 1 + (1|variable), data=data.s.long)
> model.s.опыт
Linear mixed model fit by REML
Formula: value ~ 1 + (1 | variable)
   Data: data.s.long
   AIC  BIC logLik deviance REMLdev
68.59 69.5  -31.3    65.94   62.59
Random effects:
Groups   Name        Variance Std.Dev.
variable (Intercept)  0.000   0.0000  
Residual             47.512   6.8929  
Number of obs: 10, groups: variable, 2

Fixed effects:
            Estimate Std. Error t value
(Intercept)    24.19       2.18    11.1



Signature
Вернуться в начало страницы
 
+Ответить с цитированием данного сообщения
 
nokh
сообщение 3.12.2011 - 16:10
Сообщение #8





Группа: Пользователи
Сообщений: 1219
Регистрация: 13.01.2008
Из: Челябинск
Пользователь №: 4704



>100$. Вообще-то учебник Урбаха весьма неплох для своего времени и особенно - места. В нём есть почти уникальные штуки, которые по крупицам рассыпаны в другой литературе, а кое-чего в других книгах я просто не нашёл, хотя по идее быть должно. Также он содержит больше доживших до наших дней методов, чем его ровесники от Плохинского. Хотя именно по зависимым выборкам я тоже не согласен. См. ниже.

>Stefa. На картинке я привёл цитату из соответствующего места Урбаха (стр. 155). На мой взгляд здесь есть путаница двух понятий: истинной завимости групп и преобладающего источника изменчивости. Настоящие зависимые выборки - опыты на одних и тех же животных и опыты на делянках с одних и тех же полей в разные годы. В первой же части цитаты описывается ситуация, которая не подразумевает зависимого характером выборок: то, что для каких-то биологических признаков именно год, а не поле привносит большую изменчивость, которую нужно грамотно учесть, ещё не делает выборки зависимыми. Просто получается что год - более существенный для урожайности фактор, чем поле. Если мы будем сравнивать урожайность с разных полей для одного ряда лет, а поля будут разные - некорректно считать и учитывать только ошибку разности в соответвующих парах лет, т.к. остаётся неучтённой изменчивость самих полей. А значит - это не есть зависимые выборки. Зависимые были бы тогда, когда мы бы поделили несколько полей и на одной части удобряли, на другой - нет. Тогда можно было считать, что разность между значениями на одном поле отражает именно результат удобрения и в обобщающей разности была бы только один источник изменчивости - разная "реакция" полей на удобрение. Я не особо разбирался что сделал р2004r, но вашу задачу можно решить: (1) двухфакторным дисперсионным анализом с единственным наблюдением на ячейку комплекса (параметрический подход) или (2) анализом Фридмана или Квейд (непараметрический подход).

>p2004r. Если работать в классическом русле параметрикой, то это - двухфакторный дисперсионным анализом с единственным наблюдением на ячейку комплекса. Фактор "Город" - фиксированный, фактор "Год" - случайный. Взаимодействие факторов "Город х Год" неотделимо от ошибки анализа (т.к. в ячейках только по одной цифре) и само выступает в качестве статистики ошибки для главных эффектов. Ниже я прикрепил результаты этого анализа. Город значим, год - незначим. Год "вкладывает" в изменчивость койко-мест существенно меньше (лень считать компоненты дисперсии) и не является существенным.
Эскизы прикрепленных изображений
Прикрепленное изображение
Прикрепленное изображение
 
Вернуться в начало страницы
 
+Ответить с цитированием данного сообщения
 
100$
сообщение 3.12.2011 - 17:59
Сообщение #9





Группа: Пользователи
Сообщений: 902
Регистрация: 23.08.2010
Пользователь №: 22694



> Nokh, коль скоро в посте #3 не содержится даже минимальных сведений о задаче, которую пытается решить решает автор, то Ваш совет в отношении непараметрики для явного новичка считаю чересчур громоздким. Что прикажете делать вопрошающему: срочно искать Кобзаря, у которого именно в критерии Квейд куча очепяток, или пособие Soliani, со всеми его косяками?. Пусть уж лучше сделает в Ёкселе ANOV'у. Без очков ясно, что это исследование из той же серии, когда по 5 морковкам пытаются сделать вывод о характере распределения.

Кроме того, мне не совсем понятно вот что: здесь мы имеем дело с (очевидно) независимыми выборками (2 города), а Фридман и Квейд работают со связанными выборками. Их-то на кой советуете?

И еще. Вводить год в модель в качестве регрессора в данном контексте-очевидная глупость. Время - признак, не имеющий градаций. Вот рассмотреть в качестве предиктора величину инвестиций в здравоохранение (по годам для каждого города) - другое дело. Тогда, возможно, станет понятно, почему в городе Б больше коек на 1000 населения, нежели в граде А.

Кстати, раз уж Урбах у Вас под рукой, что он пишет в смысле (возможного) ответа на мой вопрос из поста #6?

P.S. Не люблю ломать копья в отсутствие топик-стартера.

Сообщение отредактировал 100$ - 3.12.2011 - 18:19
Вернуться в начало страницы
 
+Ответить с цитированием данного сообщения
 
nokh
сообщение 3.12.2011 - 18:27
Сообщение #10





Группа: Пользователи
Сообщений: 1219
Регистрация: 13.01.2008
Из: Челябинск
Пользователь №: 4704



Цитата(100$ @ 3.12.2011 - 19:59) *
Кроме того, мне не совсем понятно вот что: здесь мы имеем дело с (очевидно) независимыми выборками (2 города), а Фридман и Квейд работают со связанными выборками. Их-то на кой советуете?

Совсем необязательно с зависимыми. Это - непараметрические аналоги двухфакторного дисперсионного анализа с рандомизированными блоками. Ссылки искать не хочется, но и википедии есть про пригодность для полноблочных экспериментальных планов. Хотя применяются и для зависимых выборок.
Цитата(100$ @ 3.12.2011 - 19:59) *
Кстати, раз уж Урбах у Вас под рукой, что он пишет в смысле (возможного) ответа на мой вопрос из поста #6?

А ничего не пишет... Но книгу не выброшу! laugh.gif :
Вернуться в начало страницы
 
+Ответить с цитированием данного сообщения
 
100$
сообщение 3.12.2011 - 19:17
Сообщение #11





Группа: Пользователи
Сообщений: 902
Регистрация: 23.08.2010
Пользователь №: 22694



Цитата(nokh @ 3.12.2011 - 18:27) *
Совсем необязательно с зависимыми. Это - непараметрические аналоги двухфакторного дисперсионного анализа с рандомизированными блоками. Ссылки искать не хочется, но и википедии есть про пригодность для полноблочных экспериментальных планов. Хотя применяются и для зависимых выборок.


Надо же, как далеко продвинулась наука с тех пор, как я занимался ею в последний раз. Т.е. простенький критерий знаков (sign test) применяется для поиска различий в параметрах положения для двух зависимых выборок, а тест Фридмана, роспространяющий эту идею на случай большего количества выборок, каким-то непостижимым образом стал непараметрическим аналогом аж двухфакторного ANOVA?


P.S. Оригинал статьи Квейд 1979 года в Тырнете выложен. Но я смотрел только на формулы, желая подкорректировать Кобзарёвы опечатки. Придется читать полностью.

Сообщение отредактировал 100$ - 3.12.2011 - 19:38
Вернуться в начало страницы
 
+Ответить с цитированием данного сообщения
 
100$
сообщение 3.12.2011 - 19:24
Сообщение #12





Группа: Пользователи
Сообщений: 902
Регистрация: 23.08.2010
Пользователь №: 22694



Цитата(nokh @ 3.12.2011 - 18:27) *
А ничего не пишет...


Чудо-книга, автор которой пренебрегает такими вещами.

[quote] Но книгу не выброшу! laugh.gif : [\quote]

Смайлик подобран неудачно smile.gif
Вернуться в начало страницы
 
+Ответить с цитированием данного сообщения
 
nokh
сообщение 3.12.2011 - 19:38
Сообщение #13





Группа: Пользователи
Сообщений: 1219
Регистрация: 13.01.2008
Из: Челябинск
Пользователь №: 4704



Цитата(100$ @ 3.12.2011 - 21:17) *
Надо же...И потом, сами посудите...

Мне полемика не интересна. Я, в отличие от Вас, не бросаю нервных фраз в направлении авторов книг, типикстартеров и участников форума, оставляя вопрос без ответа. Я зашёл и ответил на тот вопрос топикстартера, который за 7 постов так и остался без ответа. О качестве выбора смайликов - тоже не вам судить, т.к. мои смайлики отражают мои эмоции, которые совсем необязательно должны казаться адекватными отдельным участникам форума, адекватность которых также может вызывать сомнения у других его участников.

Сообщение отредактировал nokh - 3.12.2011 - 19:41
Вернуться в начало страницы
 
+Ответить с цитированием данного сообщения
 
100$
сообщение 3.12.2011 - 20:10
Сообщение #14





Группа: Пользователи
Сообщений: 902
Регистрация: 23.08.2010
Пользователь №: 22694



Тогда предлагаю нам обоим посты 12 и 13 удалить собственноручно. Или пусть модераторы расстараются. Обещаю больше не экспериментировать с вашим самолюбием.

Сообщение отредактировал 100$ - 3.12.2011 - 20:20
Вернуться в начало страницы
 
+Ответить с цитированием данного сообщения
 
p2004r
сообщение 4.12.2011 - 16:07
Сообщение #15





Группа: Пользователи
Сообщений: 1091
Регистрация: 26.08.2010
Пользователь №: 22699



Цитата(100$ @ 3.12.2011 - 17:59) *
И еще. Вводить год в модель в качестве регрессора в данном контексте-очевидная глупость. Время - признак, не имеющий градаций. Вот рассмотреть в качестве предиктора величину инвестиций в здравоохранение (по годам для каждого города) - другое дело. Тогда, возможно, станет понятно, почему в городе Б больше коек на 1000 населения, нежели в граде А.


Ну ну... "глупость" это лонгитудинальное наблюдение считать независимым от времени. И _никакой_ учтенный фактор "по годам" природу модели в части зависимости значения текущего года от предыдущего не изменит (да и сам скорее всего будет зависим от своих предыдущих по времени значений).


Signature
Вернуться в начало страницы
 
+Ответить с цитированием данного сообщения
 

3 страниц V   1 2 3 >
Добавить ответ в эту темуОткрыть тему